Tốc Độ Góc - Khái Niệm Cơ Bản
Để trả lời những câu hỏi này, chúng ta cần ba ý tưởng vật lý cơ bản: (1) tốc độ góc, (2) động lượng góc, và (3) moment quán tính.
Tốc độ quay là thứ chúng ta gọi là tốc độ góc, được biểu thị bằng chữ Hy Lạp omega (ω). Tại sao lại "góc"? Hãy nghĩ về ví dụ hai chiều này. Tưởng tượng hình tròn này có tâm trên mặt phẳng tọa độ xy.

Bây giờ hãy tưởng tượng điểm này di chuyển ngược chiều kim đồng hồ quanh hình tròn. Khi nó làm vậy, đường bán kính quét xung quanh như kim giây trên đồng hồ (ngược) - và tại bất kỳ thời điểm nào, nó tạo thành một góc (θ) với trục x. Điểm di chuyển càng nhanh quanh hình tròn, góc thay đổi càng nhanh.
Quán Tính
Quán tính về cơ bản giống như khối lượng. Khối lượng làm gì trong vật lý? Nó là một tính chất của vật thể khiến việc thay đổi chuyển động của nó trở nên khó khăn hơn. Việc lăn một quả bowling nặng khó hơn nhiều so với một quả bóng chày nhẹ. Mặt khác, việc dừng quả bowling cũng sẽ khó hơn. Khối lượng càng lớn có nghĩa là khả năng chống lại sự thay đổi càng lớn - quán tính càng lớn.
Chúng ta biết quán tính của một vật phụ thuộc vào khối lượng của nó, nhưng moment quán tính (I) cũng phụ thuộc vào vị trí của khối lượng đó, so với trục quay.
Động Lượng Góc
Có một điều nữa cần suy nghĩ: động lượng góc (L). Đây chỉ đơn giản là tích của tốc độ góc (ω) và moment quán tính (I): L = I × ω
Bây giờ, nếu bạn có một hệ thống không có tương tác bên ngoài - như một người quay trên ghế, không ai đẩy - động lượng góc (L) là không đổi. Chúng ta nói động lượng góc được bảo toàn. Nhưng nhìn vào phía bên phải của phương trình: Đối với một giá trị L nhất định, nếu bạn tăng moment quán tính (I), tốc độ góc (ω) phải giảm.
Vậy trở lại với những câu hỏi ban đầu của chúng ta! Trái Đất là một hệ thống quay cô lập với động lượng góc không đổi. Điều này có nghĩa là nếu bạn thay đổi sự phân bố khối lượng trên Trái Đất, moment quán tính sẽ thay đổi, và điều đó sẽ thay đổi tốc độ góc.
Đây chính xác là những gì một con đập làm. Nước muốn di chuyển xuống dốc ra biển, nhưng đập ngăn cản điều đó, vì vậy nó giữ khối lượng nước xa hơn khỏi trục quay của Trái Đất - giống như việc dang cánh tay trong ghế quay. Vì vậy, đúng, một con đập lớn thực sự có thể thay đổi tốc độ quay của Trái Đất!

Tính Toán Cụ Thể
Bây giờ đến phần thú vị. Hãy ước tính một ngày trên Trái Đất dài hơn bao nhiêu vì đập Tam Hiệp.
Đập tạo ra một khối nước lớn (mà chúng ta gọi là hồ). Lưu ý rằng vĩ độ (θ) của địa điểm đập xác định khoảng cách từ trục quay của hành tinh. Khi bạn di chuyển từ cực bắc về phía xích đạo, khoảng cách đó tăng lên. Vì vậy, nếu bạn muốn làm cho ngày dài nhất có thể, ngoài việc chồng nước ở độ cao lớn, bạn nên xây đập gần xích đạo.
Chúng ta có thể tìm thấy sự thay đổi trong moment quán tính, ΔI, với phương trình sau. Đừng lo lắng về toán học! Tôi chỉ muốn bạn thấy nó phụ thuộc vào vĩ độ (θ), khối lượng (m) và độ sâu (h) của nước, và bán kính Trái Đất (R) như thế nào.
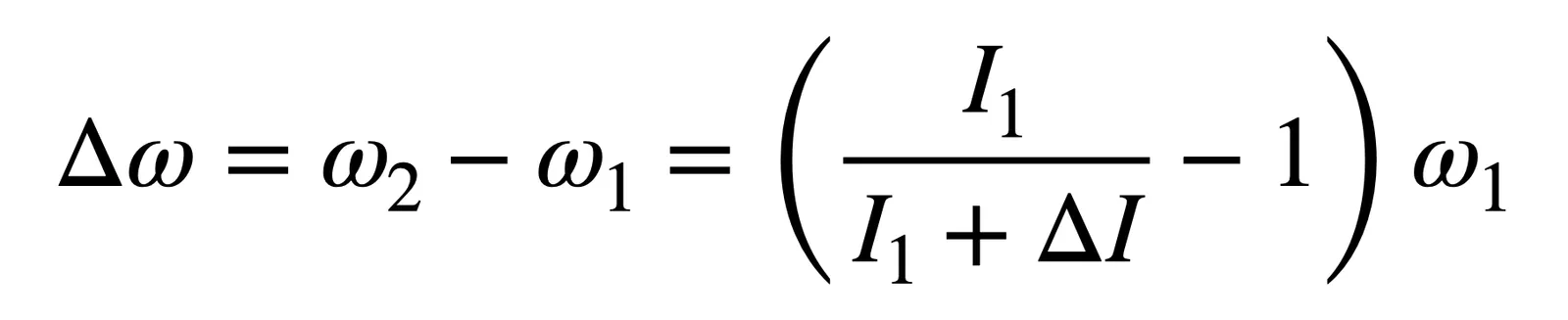
Chúng ta cần điền những biến số này bằng các con số thực tế. May mắn thay, chúng ta có Wikipedia. Vì vậy, với giá trị ban đầu của moment quán tính Trái Đất (I1), tôi có thể sử dụng ΔI từ trên để tìm sự thay đổi trong tốc độ góc (Δω) do đập gây ra.

Sau khi tính toán các con số, tôi có được một ngày trên Trái Đất dài hơn 5,3 x 10⁻⁶ giây. Đúng vậy, đó là thêm 5,3 micro giây!

Ý Nghĩa Khoa Học
Hiện tượng này minh họa một nguyên lý vật lý cơ bản: bảo toàn động lượng góc. Nó cho thấy rằng ngay cả những thay đổi nhỏ trong sự phân bố khối lượng trên Trái Đất cũng có thể có tác động đo được đến tốc độ quay của hành tinh.
Điều này không chỉ áp dụng cho các đập thủy điện. Các hoạt động khác như khai thác, xây dựng các tòa nhà cao tầng, hoặc thậm chí là sự tan chảy của băng ở các cực cũng có thể ảnh hưởng đến tốc độ quay của Trái Đất, mặc dù với mức độ rất nhỏ.
Mặc dù 5,3 micro giây không phải là khoảng thời gian đáng kể đối với cuộc sống hàng ngày của chúng ta, nhưng thực tế là con người có thể thay đổi tốc độ quay của một hành tinh là một minh chứng đáng kinh ngạc cho sức mạnh của kỹ thuật hiện đại và tầm quan trọng của việc hiểu các nguyên lý vật lý cơ bản.
Đập Tam Hiệp không chỉ là một kỳ công kỹ thuật ấn tượng mà còn là một ví dụ thực tế về cách con người có thể tác động đến các quá trình vật lý ở quy mô tầm vóc.







